Egitim-Dünyası

Hız ve Hareket Problemleri Çözümlü Sorular ve Formüller

Hız ve Hareket Problemleri Çözümlü Sorular ve Formüller

YGS-LYS, KPSS gibi sınavlara hazırlanan okuyucularımıza sınavlara çalışmalarında yardımcı olmak maksadı ile İnternette çeşitli platformlar altında yer alan matematik Hız ve Hareket Problemleri online soru çözümleri yapan gözde hocaların Hareket Problemleri çözümlü sorular videolarını siz değerli Eğitim-Dünyası okuyucuları için aralarından seçim yaparak anlatım yapanlara göre derleyerek aşağıya matematik Hareket Problemleri cevaplı sorular videolarını listeledik, Değerli okuyucumuz aşağıda ister Kpss için istersenizde YGS LYS için olan online matematik Hız ve Hareket Problemleri online çözümlü örnekleri istediğiniz hocayı seçerek izleyebilirsiniz. Ayrıca Videoların devamında da matematik Hareket Problemleri formülleri de eklenmiştir.

Videoların Yan tarafında mevcut olan hoca ların isimlerinin üstüne tıklayarak Konu ile ilgili istediğiniz Hocanın Soru Çözüm videolarını izleyebilirsiniz. (mobil olarak bağlanan okuyucularımız hocaların isimleri videonun hemen  yukarısında alt alta yer almaktadır.)

İbrahim HocaMatAkademi (ÖSYM Tarzı Sorular)Bugra Hoca Çıkmış SorularEkol HocaMatematik Hareket Problemleri Konu Anlatımları VideoDiğer
Matematik Hız ve Hareket Problemleri Çözümlü Sorular İbrahim Hoca

Matematik Hız ve Hareket Problemleri Çözümlü Sorular (Hareket ve Hız Problemleri Soru Çözümü ÖSYM Tarzı Sorular) MatAkademi

Matematik Hız ve Hareket Problemleri Çözümlü Sorular MatAkademi

Matematik Hız ve Hareket Problemleri Çözümlü Sorular 1 (Çıkmış Sorular) Bugra Hoca

Matematik Hız ve Hareket Problemleri Çözümlü Sorular 2 (Çıkmış Sorular) Bugra Hoca

Matematik Hız ve Hareket Problemleri Çözümlü Sorular 3 (Çıkmış Sorular) Bugra Hoca

Matematik Hız ve Hareket Problemleri 1 Çözümlü Sorular

Matematik Hız ve Hareket Problemleri 2 Çözümlü Sorular


Sitemizde Aşağıda yer alan Matematik Hareket Problemleri soru çözümleri gibi birçok branş da Derslerin Konu anlatımları online ders izleyebileceğiniz şekilde çeşitli platformlardan derlenmiş bir şekilde bulunmaktadır. matematik Hareket Problemleri canlı çözümlü örneklerin bulunduğu bu sayfamızın sonunda diğer ders ve branşlara ulaşabileceğiniz bağlantı adresleri de yer almaktadır.

Matematik Hareket Problemleri Formüller Çözümlü Sorular

HAREKET PROBLEMLERİ

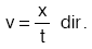
v : Hareketlinin hızı

x : Hareketlinin v hızıyla t sürede aldığı yol

t : Hareketlinin v hızıyla x yolunu alma süresi ise,

    

  • Aralarında x km olan iki araç saatte v1 km ve v2 km hızla aynı anda birbirine doğru hareket ederlerse karşılaşma süresi  olur.

İki araç saatte v1 km ve v2 km hızla aynı anda çembersel bir pistin, aynı noktasından zıt yönde aynı anda hareket ederlerse karşılaşma süresi,

  • Aralarında x km olan iki araç saatte v1 km ve v2 km hızla aynı anda aynı yönde hareket ederlerse arkadaki aracın (v1hızlı araç) öndekini yakalama süresi  dir.

İki araç saatte v1 km ve v2 km hızla aynı anda çembersel bir pistin, aynı noktasından aynı yönde hareket ederse hızı büyük olan aracın hızı küçük olan aracı yakalama süresi,

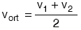
  • Eşit zamanda v1 ve v2 hızlarıyla alınan yolda hareketlinin ortalama hızı,  dir.
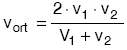
  • Belirli bir yolu v1 hızıyla gidip v2 hızıyla dönen bir aracın ortalama hızı,  dir.

 

Burada bulunan Matematik Hareket Problemleri Çözümlü Sorular videolarından, Açılmayan Video Dersler veya Eklenmesini istediğiniz video dersler var ise Lütfen yorum alanından bildiriniz. Ayrıca dersler ve ders anlatanlar hakkındaki soru, görüş ve önerilerinizide yorum alanından bize iletebilirsiniz.

[egit1]
[egit2]
[egit3]

ZİYARETÇİ YORUMLARI

Henüz yorum yapılmamış. İlk yorumu aşağıdaki form aracılığıyla siz yapabilirsiniz.

BİR YORUM YAZ