Parabol Konu Anlatımı Video

LYS Sınavına hazırlanan okuyucularımıza sınavlara çalışmalarında yardımcı olmak maksadı ile İnternette çeşitli platformlar altında yer alan ve matematik 2 diye tabir edilen alanda yer alan matematik Parabol online ders anlatımı yapan gözde hocaların Parabol konu anlatım videolarını siz değerli Eğitim-Dünyası okuyucuları için aralarından seçim yaparak konularına göre derleyerek aşağıya matematik Parabol video konu anlatımlarını listeledik, Değerli okuyucumuz LYS için olan ve mat 2 konuları arasında yer alan online matematik Parabol konu anlatımlarından istediğiniz hocayı seçerek onun anlattığı dersi izleyebilirsiniz. Ayrıca Videoların devamında da matematik Parabol konusu ile ilgili yazılı anlatım ve genel Parabol formülleri de eklenmiştir.
Videoların Yan tarafında mevcut olan hoca ların isimlerinin üstüne tıklayarak Konu ile ilgili istediğiniz Hocanın Ders Anlatım videolarını izleyebilirsiniz. (mobil olarak bağlanan okuyucularımız hocaların isimleri videonun hemen yukarısında alt alta yer almaktadır.) Parabol Konu Anlatımı Videolar
Matematik Parabol Konu Anlatımı Şenol 2 (parabol grafik çizme) Hoca
Matematik Parabol Konu Anlatımı Şenol 3 (tepe noktası bilinen bir parabol ün denklemi) Hoca
Matematik Parabol Konu Anlatımı Şenol 4 (eşitsizliklerin grafiği) Hoca
Matematik Parabol Konu Anlatımı 3 TeknoFem
Matematik Parabol Konu Anlatımı 2 TeknoFem
Matematik Parabol Konu Anlatımı 2 ( Grafik çizimi ) Hocalara Geldik
Matematik Parabol Konu Anlatımı 3 (Tepe Noktası) Hocalara Geldik
Matematik Parabol Konu Anlatımı 4 (Grafiği Verilen 2. Dereceden Fonksiyonun Denklemini Kurma ) Hocalara Geldik
Matematik Parabol Konu Anlatımı 5 (Parabol ile Doğrunun Birbirine Göre Durumu ve Eşitsizlik Gösterimi ) Hocalara Geldik
Matematik Parabol Konu Anlatımı 1 MatAkademi
Matematik Parabol Konu Anlatımı 1 MatAkademi
Matematik Parabol Konu Anlatımı 2 (Parabol’ün Tepe Noktaları,Simetri ekseni,Parabol kollarının X ve Y ekseni ile ilişkisi (kesme durumları),Bir Parabol’ün Grafiğini oluşturma) Halit Hoca
Matematik Parabol Konu Anlatımı 3 Halit Hoca
Matematik Parabol Konu Anlatımı 4 (Bir Parabol ile bir Doğrunun birbirine göre durumu,Bir Parabol ile Diğer Parabol’ün birbirine göre durumu(İki farklı noktada kesişme,tek nokta kesişme veya teğet,birbirlerini kesmeme durumları)) Halit Hoca
Sitemizde Aşağıda yer alan Matematik Parabol Ders izle gibi birçok branş da Derslerin Konu anlatımları online ders izleyebileceğiniz şekilde çeşitli platformlardan derlenmiş bir şekilde bulunmaktadır. matematik Parabol canlı dersinin bulunduğu bu sayfamızın sonunda diğer ders ve branşlara ulaşabileceğiniz bağlantı adresleri de yer almaktadır. Eğitim-Dünyası.net olarak iyi dersler dileriz.
Matematik Parabol Konu Anlatımı Yazılı
A. TANIM
olmak üzere,
tanımlanan
f(x) = ax2 + bx + c biçimindeki fonksiyonlara ikinci dereceden bir değişkenli fonksiyonlar denir.
![]()
kümesinin elemanları olan ikililere, analitik düzlemde karşılık gelen noktalara f fonksiyonunun grafiği denir.
İkinci dereceden bir değişkenli fonksiyonların grafiklerinin gösterdiği eğriye parabol denir.
|
| f(x) = ax2 + bx + c fonksiyonunun grafiği (parabol), yandaki gibi kolları yukarı doğru olan ya da kolları aşağı doğru olan bir eğridir. |
Kural
y eksenini kestiği noktanın; apsisi 0 (sıfır), ordinatı f(0) = c dir. x eksenini kestiği noktaların (varsa) ordinatları 0, apsisleri |
Kural
D > 0 ise, parabol x eksenini farklı iki noktada keser. D < 0 ise, parabol x eksenini kesmez. D = 0 ise, parabol x eksenine teğettir. |
B. PARABOLÜN TEPE NOKTASI

Şekildeki parabollerin tepe noktaları T(r, k) dir.
Parabol x = r doğrusuna göre simetrik olan bir şekildir. Bunun için, parabolün x eksenini kestiği noktaların apsisleri olan x1 ile x2 nin aritmetik ortalaması r ye eşittir. Bu durumu kuralla ifade edebiliriz.
Kural
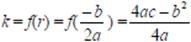
| f(x) = ax2 + bx + c fonksiyonunun grafiğinin (parabolün) tepe noktası T(r, k) ise,
|
Sonuç
| f(x) = ax2 + bx + c fonksiyonunun grafiğinin (parabolün) tepe noktası T(r, k) ise, bu parabolün simetri ekseni x= r doğrusudur. |
Uyarı
| f(x) = ax2 + bx + c ifadesi ikinci dereceden fonksiyonunun en genel halidir. Bu fonksiyon düzenlenerek f(x) = a(x – r)2 + k hâline dönüştürülürse, tepe noktasının T(r, k) olduğu görülür. |
Kural
Parabolün en alt ya da en üst noktasına tepe noktası denir. |
C. PARABOLÜN GRAFİĞİ
f(x) = ax2 + bx + c fonksiyonunun grafiğini çizmek için sırasıyla aşağıdaki işlemler yapılır:
1) Parabolün eksenleri kestiği noktalar bulunur.
2) Parabolün tepe noktası bulunur.
3) Parabolün kollarının aşağı veya yukarı olma durumuna göre, kesim noktaları ve tepe noktası koordinat düzleminde gösterilip, bu noktalardan geçecek biçimde grafik çizilir.
Kural
| A) a < 0 ise, y alabileceği en büyük değer k dir. a > 0 ise, y nin alabileceği en küçük değer k dir. B) Parabolün tanım aralığı f(x) in tepe noktasının ordinatı, yani k bulunur. f(a) ile f(b) hesaplanır. a. Tepe noktasının apsisi [a, b] aralığında ise; k, f(a), f(b) sayılarının, en küçük olanı f(x) in en küçük elemanı; en büyük olanı da f(x) in en büyük elemanıdır. b. Tepe noktasının apsisi [a, b] aralığında değil ise; f(a), |
D. PARABOLÜN DENKLEMİNİN YAZILMASI
Bir parabolün denklemini tek türlü yazabilmek için, üzerindeki farklı üç noktanın bilinmesi gerekir.
(a, b), (m, n) ve (k, t) noktaları y = f(x) parabolü üzerinde ise;
b = f(a), n = f(m), t = f(k) eşitlikleri kullanılarak parabolün denklemi bulunur.
Kural
| x eksenini x1 ve x2 noktalarında kesen parabolün denklemi, f(x) = a(x – x1)(x – x2) dir. |
Kural
| Tepe noktası T(r, k) olan parabolün denklemi, y = a(x – r)2 + k dir. |
E. EŞİTSİZLİK SİSTEMLERİNİN GRAFİKLE ÇÖZÜMÜ
Bir eşitsizliği sağlayan tüm noktaların koordinat düzleminde taranmasıyla, verilen eşitsizliğin grafiği çizilmiş olur.
![]()
kümesinin analitik düzlemde gösterimi:

![]()
kümesinin analitik düzlemde gösterimi:

F. İKİ EĞRİNİN BİRLİKTE İNCELENMESİ
y = f(x) ile y = g(x) eğrisinin birbirine göre üç farklı durumu vardır.
f(x) = g(x) denkleminin, tek katlı köklerinde eğriler birbirini keser; çift katlı köklerinde birbirine teğettir. Eğer f(x) = g(x) denkleminin reel kökü yoksa, eğriler kesişmez.
Özel olarak,
f(x) = ax2 + bx + c parabolü ile y = mx + n doğrunun denklemlerinin ortak çözümünde elde edilen,
ax2 + bx + c = mx + n
ax2 + (b – m)x + c – n = 0
denkleminin diskriminantı D = (b – m)2 – 4a(c – n) olsun.
D > 0 ise parabol ile doğru iki farklı noktada kesişir.
D < 0 ise parabol ile doğru kesişmez.
D = 0 ise doğru parabole teğettir.
Kökleri Ve Geçtiği Herhangi Bir Noktası Verilen Parabolün Denkleminin Yazılması:
Kökleri x1 ve x2 olarak verilmiş ikinci dereceden denklem için sunu demiştik: (x – x1) ve (x – x2) ile tam bölünür.
Zaten denklem ikinci dereceden olduğundan baksa x’li çarpana da gerek yok. Ama bu çarpanların basında katsayı olarak herhangi bir sayı da bulunabilir.
Öyle ya, x ekseni üzerinde iki farklı nokta düşünün, o noktalardan geçen kolları aşağıya veya yukarıya bakan binlerce parabol olabilir.
Simdi bize bir de y = a.(x – x1).(x – x2) denklemimin bas katsayısı olan a lazım. İste onu da, üçüncü nokta olarak verilen, geçtiği herhangi bir nokta koordinatını kullanarak bulacağız.
Buna da bir örnek geliyor:
Örnek:
Kökleri –3 ve 1 olan ikinci dereceden bir denklemin grafiği A(2, 5) noktasından geçmektedir. Bu denklemi yazınız.
Çözüm:
Derhal kökleri −3 ve 1 olan tüm ikinci dereceden denklemleri yazalım:
y = a.(x – x1).(x – x2)
y = a.(x + 3).(x – 1)
Bu denklemi (2, 5) de sağlaması gerekiyor.
O halde 5 = a.(2 + 3)(2 – 1) olduğundan a = 1’dir.
Parabol denklemi bulundu bile:
y = (x + 3).(x – 1) = x2 + 2x – 3.
Örnek:

x eksenini –1 apsisli,
y eksenini –2 ordinatlı
noktada kesen yukarıdaki parabolün, tepe noktasının apsisi 2 ise bu parabolün denklemini yazınız.
Çözüm:

Tepe noktası simetri ekseni üzerinde bulunduğundan |AC| =|CB|’dir. O halde verilmemiş kök olan B noktasının apsisi 5’dir.
Su durumda parabolün iki kökü ve geçtiği bir noktası bellidir.
y = a.(x + 1).(x – 5)
G(0, –2) noktası da parabol üstünde olduğundan sağlaması gerekir.
–2 = a.(0 + 1).(0 – 5)
olduğundan
a= (2/5)’ tir
Bize lazım olan her şey bulunduğundan parabol denklemini yazabiliriz:
y=(2/5)*(x+1)*(x – 5) = (2/5)x2 -(8/5)x – 2
Örnek:

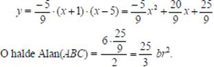
Tepe noktası T(2, 5) olan yukarıdaki parabol x eksenini A ve C noktalarında, y eksenini de B noktasında kesmektedir. C(5, 0) ise ABC üçgeninin alanı kaç br2dir?
Çözüm:
Tepe noktasının simetri ekseni üzerinde bulunduğunu, dolayısıyla r = 2 olduğundan A(−1, 0) olduğunu unutmayın.
Su an üçgenin taban uzunluğu belli olduğundan yüksekliği yani B noktasının ordinatını bulursak, soru çözülmüş olacak. Ki orası da parabolün sabit terimidir.
İki kök de belli olduğundan
y = a.(x + 1).(x – 5)
Parabol T(2, 5)’ten geçtiğinden koordinatları eşitlikte yerine koyacağız ve sağlayacak:
5 = a.(2 + 1).(2 – 5)
olur ki a=-(5/9) bulunur.
Simdi parabolün denklemini yazabiliriz:

Tepe Noktası Ve Geçtiği Herhangi Bir Noktası Verilen Parabolün Denkleminin Yazılması:
Neden bilmiyorum ve bir mana da veremiyorum ama tepe noktası koordinatları tüm kaynaklarda (r, k) olarak gösteriliyor. Biz de sürüye katılacağız.
Tepe noktası T(r, k) olarak verilen parabollerin genel denklemi y = a.(x – r)2 + k seklindedir. r ve k zaten bize verilecek, verilen geçtiği herhangi bir nokta koordinatı yardımıyla da a’yı bulacağız. İşlem tamam olacak.
Örnek:
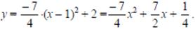
Tepe noktası T(1, 2) olup, G(3, –5)’ten geçen parabolün denklemini yazınız
Çözüm:
r = 1 ve k = 2 olduğundan, y = a.(x – r)2 + k = a(x – 1)2 + 2 olur.
G(3, –5) noktası parabol üstünde olduğundan hemen görevimizi yapalım:
–5 = a(3 – 1)2 + 2 olur ki a=-(7/9) bulunur.
Düzenlenirse; ![]()
Örnek:

Yukarıda grafiği verilen parabolün tepe noktası T(1, 4) olup, parabol G(5, –2) noktasından geçmektedir.
Buna göre f(8) kaçtır?
Çözüm:
Parabolün denklemi olan y = f(x) fonksiyonunu bulup, x yerine 8 yazacağız.
r = 1 ve k = 4 olduğundan, y = a(x – r)2 + k = a(x– 1)2 + 4 olur.
G(5, –2) noktası parabol üstünde olduğundan denklemi sağlar:
–2 = a.(5 – 1)2 + 4
olur ki a=-(3/9) bulunur.
Düzenlenirse; ![]()
bulunur, dolayısıyla ![]()
Örnek:

(2,0) ve (0, 3) ortak noktalarına sahip f parabolü ile g doğrusunun grafikleri yukarıda verilmiştir.
Taralı bölgeye karşılık gelen eşitsizlik sistemini yazınız.
Çözüm:
Tepe noktası ve geçtiği bir noktası bilindiğinden parabol denklemini y=(3/4)*(x-2)2 Olarak buluruz.
Geçtiği iki noktası bilinen doğru denkleminin formülünden de doğrunun denklemi y= -(3/4)*x +3 olarak bulunur.
Taralı bölge parabolün üstü ile doğrunun alt bölgesinin kesişimi olduğundan eşitsizlik sistemi söyle olmalıdır:
![]()
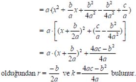
Denklemi Verilen Parabolün Tepe Noktasının Koordinatlarının Bulunması:
y = ax2 + bx + c
denklemini y = a(x – r)2 + k haline getirerek r ve k’nın formüllerini çıkarmış olacağız.
y = ax2 + bx + c
y = a(x2 + (b/a)x + (c/a) )

Görüldüğü üzere r’nin formülü sık ama k’nın formülü gıcık. Buna hemen bir formül bulmalıyız:
T(r, k) noktası parabolün üzerinde olduğundan parabol denklemini sağlaması gerekir. O halde x yerine r yazdığımızda çıkacak y değeri k olmalıdır.
Buradan anlaşılması gereken sudur: k’yı bulmak isteyen bir vatandaş, fonksiyonda x gördüğü yere r’yi yazarak da k’yı bulabilir.
![]()
Unutmayın ki, k değeri fonksiyonun alabileceği minimum ya da maksimum değeri verir, r değeri ise o minimum ya da maksimum değerini hangi x değeri için aldığını verir.
Örnek:
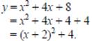
y = x2 + 4x + 8 parabolünün tepe noktasının orijine olan uzaklığını bulunuz.
Çözüm 1: Önce bir koordinatlarını bulalım, orijine olan uzaklı kolay.

Çözüm 2: Tavsiyemiz bu yoldur, verilen ikinci dereceden denklemi derhal tam kare haline getirin, gerisi sırıtacak zaten.

Ne kadar da y = a(x – r)2 + k formülüne benziyor değil mi?
Aslında ta kendisi, o halde r = –2 ve k = 4.
Örnek:
y = –x2 + 6x – 2 parabolünün tepe noktasının koordinatlarını bulunuz.
Çözüm 1:

Çözüm 2:
y = –x2 + 6x – 2 = –x2 + 6x – 9 + 7 = –(x – 3)2 + 7 olduğundan T(r, k) = T(3, 7).
Örnek:
f(x) = ax2 + bx + c parabolünün tepe noktası T(r, k) olup, diskriminantı D’dır. a, b, c, r, k, D değerlerinden en çok kaç tanesi aynı anda negatif olabilir?
Çözüm:

Eğer f(x)’in, yukarıda görüldüğü üzere, tepe noktası analitik düzlemin III. bölgesinde ve kolları aşağı doğruysa, bahsi geçen altı değer de aynı anda negatif olabilir.
Kollar aşağı doğru olduğundan a < 0, y eksenini negatif tarafta kestiğinden c < 0, Tepe noktası III. bölgede olduğundan r < 0 ve k < 0, x eksenini kesmediğinden
ar olup, ar >0 olduğundan b < 0. Dolayısıyla altı değerin altısı birden aynı anda sıfır olabilir.
Örnek:
f(x) = x2 – (2m + 2)x + m + 6 fonksiyonunun tepe noktası y = –1 doğrusu üzerinde ise m’nin alabileceği değerleri bulunuz.
Çözüm:

Baş katsayı pozitif olduğundan, parabolün kolları yukarı doğru olup, parabol yukarıdaki gibidir. Tepe noktası da y = –1 doğrusu üstünde olduğundan k = –1’dir.
![]()
eşitliği çözülürse (m + 3)(m – 2) = 0 buluruz ki m= –3 veya m = 2 olabilir.
Örnek:
y = 2x2 + 5x + 8 parabolü ile y = x + 6 doğrularının birbirlerine göre durumlarını inceleyiniz. Teğetseler degme noktasının, kesişiyorsalar kesim noktalarının koordinatlarını bulunuz.
Çözüm:
2x2 + 5x + 8 = x + 6,
2x2 + 4x + 2 = 0,
x2 + 2x + 1 = 0 = (x + 1)2,
Görüldüğü gibi eşitlenen denklemlerin ortaya çıkardığı denklemin tek kökü var, o halde doğru parabole tek noktada değiyor, yani teğet. x = –1 olduğundan y = –1 + 6 = 5 olduğundan teğet degme noktası koordinatları (–1, 5)’tir.
Örnek:
y = x2 + 4x – 11 parabolünün y = 2x – 21 doğrusuna göre konumunu belirleyiniz.
Çözüm:
Her zamanki gibi denklemleri ortak çözeceğiz.
x2 + 4x – 11 = 2x – 21, x2 + 2x + 10 = 0.
Bu denklemin reel kökü olmadığından doğruyla parabol kesişmezler.
- Matematik Parabol Çözümlü soruları izlemek ve Parabol İle İlgili Önemli Formüllere Ulaşmak İçin Tıklayınız
- LYS Matematik konu Anlatımları ve Çözümlü Sorular (MAT 2) için Tıklayınız
- Tüm LYS Dersleri konu Anlatımları ve Çözümlü Sorular için Tıklayınız
- Tüm YGS Dersleri konu Anlatımları ve Çözümlü Sorular için Tıklayınız
Burada bulunan Matematik Parabol Ders izle videolarından Açılmayan Video Dersler veya Eklenmesini istediğiniz video dersler var ise Lütfen yorum alanından bildiriniz. Ayrıca dersler ve ders anlatanlar hakkındaki soru, görüş ve önerilerinizi de yorum alanından bize iletebilirsiniz.
[egit1]
[egit2]
[egit3]



Parabolün en alt ya da en üst noktasına tepe noktası denir.