ÜSLÜ SAYILAR Çözümlü Sorular ve Formüller

YGS-LYS, KPSS gibi sınavlara hazırlanan okuyucularımıza sınavlara çalışmalarında yardımcı olmak maksadı ile İnternette çeşitli platformlar altında yer alan matematik ÜSLÜ SAYILAR online soru çözümleri yapan gözde hocaların ÜSLÜ SAYILAR çözümlü sorular videolarını siz değerli Eğitim-Dünyası okuyucuları için aralarından seçim yaparak anlatım yapanlara göre derleyerek aşağıya matematik ÜSLÜ SAYILAR cevaplı sorular videolarını listeledik, Değerli okuyucumuz aşağıda ister Kpss için istersenizde YGS LYS için olan online matematik ÜSLÜ SAYILAR online çözümlü örnekleri istediğiniz hocayı seçerek izleyebilirsiniz. Ayrıca Videoların devamında da matematik ÜSLÜ SAYILAR formülleri de eklenmiştir.
Videoların Yan tarafında mevcut olan hoca ların isimlerinin üstüne tıklayarak Konu ile ilgili istediğiniz Hocanın Soru Çözüm videolarını izleyebilirsiniz. (mobil olarak bağlanan okuyucularımız hocaların isimleri videonun hemen yukarısında alt alta yer almaktadır.)
Matematik ÜSLÜ SAYILAR Çözümlü Sorular (Mini Test) Bugra Hoca
[t2]
Sitemizde Aşağıda yer alan Matematik ÜSLÜ SAYILAR soru çözümleri gibi birçok branş da Derslerin Konu anlatımları online ders izleyebileceğiniz şekilde çeşitli platformlardan derlenmiş bir şekilde bulunmaktadır. matematik ÜSLÜ SAYILAR canlı çözümlü örneklerin bulunduğu bu sayfamızın sonunda diğer ders ve branşlara ulaşabileceğiniz bağlantı adresleri de yer almaktadır.
Matematik ÜSLÜ SAYILAR Formüller
KISACA
| KURAL | ÖRNEK |
|---|---|
| x1 = x | 61 = 6 |
| x0 = 1 | 70 = 1 |
| x-1 = 1/x | 4-1 = 1/4 |
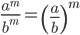
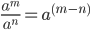
| xmxn = xm+n | x2x3 = x2+3 = x5 |
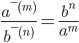
| xm/xn = xm-n | x6/x2 = x6-2 = x4 |
| (xm)n = xmn | (x2)3 = x2×3 = x6 |
| (xy)n = xnyn | (xy)3 = x3y3 |
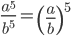
| (x/y)n = xn/yn | (x/y)2 = x2 / y2 |
| x-n = 1/xn | x-3 = 1/x3 |
![]() |
![]() |
Üslü Sayılar Nedir? Üslü Sayıların Özellikleri, Üslü Sayı Kuralları Formülleri (biraz detaylı)
a ∈ R ve n ∈ Z+ olmak üzere ;
(a: taban, n: üs)
1) a ≠ 0 için a0=1 dir. (00 belirsizdir.)
a1=a, a2=a.a (a kare), a3=a.a.a (a küp)
2) a > 0 için (-a)2n=a2n > 0 dır.
Örnek —> [(-3)2=(3)2 =9 > 0]
3) a > 0 için (-a)2n-1=-a2n-1 < 0 dır.
Örnek —> [(-4)3=-43=-64 < 0]
4) (a-b)2n=(b-a)2n, (a-b)2n-1=-(b-a)2n-1
5) an=am ise n=m dir. (a ≠ 0, a ≠ 1, a ≠ -1)
Örnek —> (2x=8 ise 2x=23, x=3)
6) axn+bxn+cxm-dxm+exm=(a+b)xn+(c-d+e)xm
Örnek —> [2.210+5.210-3.210=(2+5-3).210=4.210
7) am.an=am+n, (a4.a3=a7) <–> am.bm=(a.b)m, (a5.b5)=(a.b)5
8)
(b ≠ 0)
9)
;
;
;
;
;
,
,
10) (am)n=am.n (a4)3=a12
- Matematik ÜSLÜ SAYILAR Konu Anlatımlarını izlemek ve ÜSLÜ SAYILAR İle İlgili Yazılı konu anlatımına Ulaşmak İçin Tıklayınız
- Tüm YGS Matematik konu Anlatımları ve Çözümlü Sorular için Tıklayınız
- Tüm KPSS Matematik konu Anlatımları ve Çözümlü Sorular için Tıklayınız
- Tüm KPSS Dersleri konu Anlatımları ve Çözümlü Sorular için Tıklayınız
- Tüm YGS Dersleri konu Anlatımları ve Çözümlü Sorular için Tıklayınız
- Tüm LYS Dersleri konu Anlatımları ve Çözümlü Sorular için Tıklayınız
Burada bulunan Matematik ÜSLÜ SAYILAR Çözümlü Sorular videolarından, Açılmayan Video Dersler veya Eklenmesini istediğiniz video dersler var ise Lütfen yorum alanından bildiriniz. Ayrıca dersler ve ders anlatanlar hakkındaki soru, görüş ve önerilerinizide yorum alanından bize iletebilirsiniz.
[egit1]
[egit2]
[egit3]












