RASYONEL SAYILAR Konu Anlatımı Video

YGS-LYS, KPSS gibi sınavlara hazırlanan okuyucularımıza sınavlara çalışmalarında yardımcı olmak maksadı ile İnternette çeşitli platformlar altında yer alan matematik RASYONEL SAYILAR online ders anlatımı yapan gözde hocaların RASYONEL SAYILAR konu anlatım videolarını siz değerli Eğitim-Dünyası okuyucuları için aralarından seçim yaparak konularına göre derleyerek aşağıya matematik RASYONEL SAYILAR video konu anlatımlarını listeledik, Değerli okuyucumuz aşağıda ister Kpss için isterseniz de YGS LYS için olan online matematik RASYONEL SAYILAR konu anlatımlarından istediğiniz hocayı seçerek onun anlattığı dersi izleyebilirsiniz. Ayrıca Videoların devamında da matematik RASYONEL SAYILAR konusu ile ilgili yazılı anlatım ve genel RASYONEL SAYILAR formülleri de eklenmiştir.
Videoların Yan tarafında mevcut olan hoca ların isimlerinin üstüne tıklayarak Konu ile ilgili istediğiniz Hocanın Ders Anlatım videolarını izleyebilirsiniz. (mobil olarak bağlanan okuyucularımız hocaların isimleri videonun hemen yukarısında alt alta yer almaktadır.)
Matematik RASYONEL SAYILAR Konu Anlatımı 2 Şenol Hoca
Matematik RASYONEL SAYILAR Konu Anlatımı 3 (ONDALIK SAYILAR) Şenol Hoca
Matematik RASYONEL SAYILAR Konu Anlatımı 4 Şenol Hoca
Matematik RASYONEL SAYILAR Konu Anlatımı 2 TeknoFem
Matematik RASYONEL SAYILAR Konu Anlatımı (Pratik Yol KPSS ALES DGS YGS ) Bugra Hoca
[t2]
Sitemizde Aşağıda yer alan Matematik RASYONEL SAYILAR Ders izle gibi birçok branş da Derslerin Konu anlatımları online ders izleyebileceğiniz şekilde çeşitli platformlardan derlenmiş bir şekilde bulunmaktadır. matematik RASYONEL SAYILAR canlı dersinin bulunduğu bu sayfamızın sonunda diğer ders ve branşlara ulaşabileceğiniz bağlantı adresleri de yer almaktadır. Eğitim-Dünyası.net olarak iyi dersler dileriz.
Matematik RASYONEL SAYILAR Konu Anlatımı Videolar
Matematik RASYONEL SAYILAR Yazılı Konu Anlatım
A. TANIM
a ve b tam sayı, b ¹ 0 olmak üzere,
şeklinde ifade edilen sayılara rasyonel sayı denir.

•
•
B. KESİR
Bir birimin bölündüğü eşit parçalardan birini veya bir kaçını göstermeye yarıyan sayılara kesir denir.
C. KESİR ÇEŞİTLERİ
1. Basit Kesir
İşaretine bakılmaksızın payı paydasından küçük olan kesirlere basit kesir denir.
Aşağıdaki sayı doğrusunda koyu ve kalın çizgi ile gösterilen noktalara karşılık gelen sayılar basit kesirdir.
|
|
2. Bileşik Kesir
İşaretine bakılmaksızın payı paydasından küçük olmayan (büyük veya eşit olan) kesirlere bileşik kesir denir.
Aşağıdaki sayı doğrusunda koyu ve kalın çizgi ile gösterilen noktalara karşılık gelen sayılar bileşik kesirdir.
3. Tam Sayılı Kesir
Herhangi bir sayma sayısı ile birlikte yazılabilen kesirlere tam sayılı kesir denir.
birer tam sayılı kesirdir.
Her bileşik kesir bir tam sayılı kesir biçiminde yazılabilir.
•
•
D. RASYONEL SAYILARDA İŞLEMLER
1. Genişletme ve Sadeleştirme
kesrinin pay ve paydası sıfırdan farklı bir k tam sayısıyla, çarpıldığında veya bölündüğünde kesrin değeri değişmez.Bu işleme kesrin genişletilmesi veya sadeleştirilmesi denir.

2. Denk Kesirler
kesrinin genişletilmesi veya sadeleştirilmesiyle
ye eşit pek çok kesir elde edilebilir. Bu kesirler
ye denktirdenir.
kesri,
kesrine denk ise,
biçiminde yazılır, “a bölü b kesri c bölü d kesrine denktir” diye okunur.
|
Her denk kesir aynı zamanda eşittir. Buna göre, |
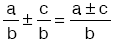
3. Toplama – Çıkarma İşlemi
Toplama ve çıkarma işleminde payda eşitlenecek biçimde kesirler genişletilir ya da sadeleştirilir. Oluşan kesirlerin payları toplanır (ya da çıkarılır) ortak payda alınır.
•
•
4. Çarpma – Bölme İşlemi

|
• • |
5. İşlem Önceliği
Toplama, çıkarma, çarpma, bölme ve üs alma işlemlerinden bir kaçının birlikte bulunduğu rasyonel sayılarda işlemler, aşağıdaki sıraya göre yapılır.
1) Parantezler ve kesir çizgisi işleme yön verir.
2) Üslü işlemler varsa sonuçlandırılır.
3) Çarpma – bölme yapılır.
4) Toplama – çıkarma yapılır.
|
Toplama ile çıkarma işlemi kendi arasında öncelik taşımaz. Aynı şekilde çarpma ile bölme işlemi de kendi arasında öncelik taşımaz. Özelikle çarpma ile bölme de öncelik söz konusu ise bu parantezle belirlenmiştir. |
E. ONDALIK KESİR
1. Ondalık Kesir
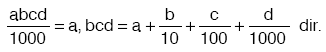
Bir rasyonel sayının payını paydasına böldüğümüzde bu rasyonel sayının ondalık açılımını buluruz. Bu ondalık açılımaondalık kesir denir.
Burada a ya tam kısım, bcd ye de ondalıklı kısım denir.
2. Devirli (Periyodik) Ondalık Kesir
Bir ondalık kesirde ondalıklı kısım belli bir kurala göre tekrarlanıyorsa bu sayıya devirli ondalık kesir denir.
•
•
•
3. Ondalık Kesirlerde İşlemler
a. Toplama – Çıkarma: Ondalık kesirler toplanırken, virgüller alt alta gelecek şekilde yazılır ve doğal sayılarda toplama – çıkarma işleminde olduğu gibi toplama – çıkarma işlemi yapılır. Sonuç, virgüllerin hizasından virgülle ayrılır.
b. Çarpma: Ondalık kesirlerin çarpımı yapılırken, virgül yokmuş gibi çarpma işlemi yapılır. Sonuç, çarpılan sayıların virgülden sonraki basamak sayılarının toplamı kadar, sağdan sola doğru virgülle ayrılır.
c. Bölme: Ondalık kesirlerin bölme işlemi yapılırken, bölen virgülden kurtulacak biçimde 10 un kuvveti ile çarpılır. Bölünen de aynı 10 un kuvveti ile çarpılarak bölme işlemi yapılır.
4. Devirli Ondalık Kesirlerin Rasyonel Sayıya Dönüştürülmesi
Bir devirli ondalık açılımı
şeklinde yazarken;
Virgül ve devreden dikkate alınmadan; okunan sayıdan, devretmeyen sayıyı çıkararak paya yazılır.
Paydaya ise virgülden sonraki devreden basamak sayısı kadar 9 ve sağına devretmeyen basamak sayısı kadar sıfır yazılır.
a, b, c, d, e birer rakam olmak üzere,
|
|
|
Devreden 9 ise bir önceki rakam 1 artırılır. • • • • • |
F. RASYONEL SAYILARDA SIRALAMA
Pozitif kesirlerde sıralama yapılırken aşağıdaki yollardan biri kullanılır.
1. Yol
Paydaları eşit olan (eşitlenen) kesirlerden payı en büyük olan diğerlerinden daha büyüktür.
2. Yol
Payları eşit olan (eşitlenen) kesirlerden paydası en küçük olan diğerlerinden daha büyüktür.
3. Yol
Payı ile paydası arasındaki farkı eşit olan, pozitif basit kesirlerde, payı en büyük olan diğerlerinden daha büyüktür.
Payı ile paydası arasındaki farkı eşit olan, bileşik kesirlerde, payı en büyük olan diğerlerinden daha küçüktür.
Yukarıda verilen yöntemler pozitif kesirlerde geçerlidir. Negatif kesirlerde ise durum tersinedir.
| a ve n doğal sayı olsun.n sabit iken a büyüdükçe |
| a ve n doğal sayı olsun.n sabit iken a büyüdükçe |
G. İKİ RASYONEL SAYI ARASINDAKİ SAYILAR
arasında sayılamıyacak çoklukta rasyonel sayı vardır. Bunlardan bazılarını bulmak için b ile d nin e.k.o.k. u bulunur. Verilen kesirlerin paydaları bulunan e.k.o.k. da eşitlenir. İstenen koşuldaki sayıyı bulmak için kesirler genişletilebilir.
|
Ü |
- Matematik RASYONEL SAYILAR Çözümlü soruları izlemek ve RASYONEL SAYILAR İle İlgili Önemli Formüllere Ulaşmak İçin Tıklayınız
- Tüm YGS Matematik konu Anlatımları ve Çözümlü Sorular için Tıklayınız
- Tüm KPSS Matematik konu Anlatımları ve Çözümlü Sorular için Tıklayınız
- Tüm KPSS Dersleri konu Anlatımları ve Çözümlü Sorular için Tıklayınız
- Tüm YGS Dersleri konu Anlatımları ve Çözümlü Sorular için Tıklayınız
- Tüm LYS Dersleri konu Anlatımları ve Çözümlü Sorular için Tıklayınız
Burada bulunan Matematik RASYONEL SAYILAR Ders izle videolarından Açılmayan Video Dersler veya Eklenmesini istediğiniz video dersler var ise Lütfen yorum alanından bildiriniz. Ayrıca dersler ve ders anlatanlar hakkındaki soru, görüş ve önerilerinizi de yorum alanından bize iletebilirsiniz.
[egit1]
[egit2]
[egit3]
















