Polinomlar Konu Anlatımı Video

LYS Sınavına hazırlanan okuyucularımıza sınavlara çalışmalarında yardımcı olmak maksadı ile İnternette çeşitli platformlar altında yer alan ve matematik 2 diye tabir edilen alanda yer alan matematik Polinomlar online ders anlatımı yapan gözde hocaların Polinomlar konu anlatım videolarını siz değerli Eğitim-Dünyası okuyucuları için aralarından seçim yaparak konularına göre derleyerek aşağıya matematik Polinomlar video konu anlatımlarını listeledik, Değerli okuyucumuz LYS için olan ve mat 2 konuları arasında yer alan online matematik Polinomlar konu anlatımlarından istediğiniz hocayı seçerek onun anlattığı dersi izleyebilirsiniz. Ayrıca Videoların devamında da matematik Polinomlar konusu ile ilgili yazılı anlatım ve genel Polinomlar formülleri de eklenmiştir.
Videoların Yan tarafında mevcut olan hoca ların isimlerinin üstüne tıklayarak Konu ile ilgili istediğiniz Hocanın Ders Anlatım videolarını izleyebilirsiniz. (mobil olarak bağlanan okuyucularımız hocaların isimleri videonun hemen yukarısında alt alta yer almaktadır.) Polinomlar Konu Anlatımı Videolar
Matematik Polinomlar Konu Anlatımı 2 Ekol Hoca
Matematik Polinomlar Konu Anlatımı 2 Şenol Hoca
Matematik Polinomlar Konu Anlatımı 3 Şenol Hoca
Matematik Polinomlar Konu Anlatımı 4 Şenol Hoca
Matematik Polinomlar Konu Anlatımı 2 TeknoFem
Matematik Polinomlar Konu Anlatımı 3 TeknoFem
Matematik Polinomlar Konu Anlatımı 4 TeknoFem
Matematik Polinomlar Konu Anlatımı 5 TeknoFem
Matematik Polinomlar Konu Anlatımı 6 TeknoFem
Matematik Polinomlar Konu Anlatımı 7 TeknoFem
Matematik Polinomlar Konu Anlatımı 2 MatAkademi
Matematik Polinomlar Konu Anlatımı 3 MatAkademi
Matematik Polinomlar Konu Anlatımı 2 Halit Hoca
Matematik Polinomlar Konu Anlatımı 3 (Polinomlarda Bölme İşlemi) Halit Hoca
Matematik Polinomlar Konu Anlatımı 4 (Polinomlarda Türev,Basit Kesirlere Ayırma) Halit Hoca
Matematik Polinomlar Konu Anlatımı Yazılı
![]()
olmak üzere, P(x) = a0 + a1 × x + a2 × x2 + … + an × xn biçimindeki ifadelere x değişkenine göre, düzenlenmiş reel kat sayılı polinom (çok terimli) denir. Burada, a0, a1, a2, … an reel sayılarına polinomun kat sayıları, a0, a1 × x , a2 × x2 , … , an × xn ifadelerine polinomun terimleri denir. an × xn terimindeki an sayısına terimin kat sayısı, x in kuvveti olan n sayısına terimin derecesi denir. Derecesi en büyük olan terimin derecesine polinomun derecesi denir ve der[P(x)] ile gösterilir. Derecesi en büyük olan terimin kat sayısına ise polinomun baş kat sayısı denir. Polinomlar kat sayılarına göre adlandırılırlar. Kat sayıları reel sayı olan polinomlara reel kat sayılı polinom, kat sayıları rasyonel sayı olan polinomlara rasyonel kat sayılı polinom, kat sayıları tam sayı olan polinomlara tam kat sayılı polinom denir.
Tanım
![]()
-Olmak üzere, P(x) = c biçimindeki polinomlara,sabit polinom denir. Sabit polinomun derecesi 0 (sıfır) dır.
-P(x) = 0 biçimindeki polinoma, sıfır polinomu denir. Sıfır polinomunun derecesi tanımsızdır.
Polinomların Eşitliği
Aynı dereceli terimlerinin kat sayıları eşit olan polinomlar eşittir.
B. POLİNOMLARDA İŞLEMLER
1. Toplama İşlemi İki polinom toplanırken; dereceleri aynı olan terimlerin kat sayıları kendi aralarında toplanır, sonuç o terimin kat sayısı olarak yazılır.
A(x) = a4×4 + a3×3 + a2×2 + a1x + a0
B(x) = b3×3 + b2×2 + b1x + b0
Polinomları verilsin, bu iki polinomu toplarken aynı dereceli terimler kendi arasında toplanarak iki polinomun toplamı elde edilir.
A(x) + B(x) = a4 x4 + ( a3 + b3 ) x3 + ( a2 + b2 ) x2 + ( a1 + b1 ) x + a0 + b0
Örnek
3 x + 4 polinomlarının√P(x) = x3 + 2×2 – 3x + 1, Q(x) = 3×2 + toplamı olan polinomu bulunuz.
Çözüm
(3-3)√3) x + 1 + = x3 + 5×2 + (√P(x) + Q(x) = x3 + (2+3) x2 + (-3) + x + 5 dir.
Buna göre iki polinomun toplamı yine bir başka polinom olduğundan polinomlar toplama işlemine göre kapalıdır.
1. Polinomlar kümesi, toplama işlemine göre kapalıdır.
2. Polinomlar kümesinde toplama işleminin değişme özelliği vardır.
3. Polinomlar kümesinde toplama işleminin birleşme özelliği vardır.
4. Sıfır polinomu, polinomlar kümesinde toplama işlemine göre birim elemanıdır.
5. Her polinomun, toplama işlemine göre tersi vardır.
2. Çıkarma İşlemi P(x) – Q(x) = P(x) + [–Q(x)] olduğu için, P(x) polinomundan Q(x) polinomunu çıkarmak, P(x) ile –Q(x) i toplamaktır. Bunun için çıkarma işlemini, çıkarılacak polinomun işaretini değiştirip toplama yapmak biçiminde ele alabiliriz.
Örnek
A(x) = 5×4 + x3 – 3×2 + x + 2 ve
B(x) = – 5×4 + x3 + 2×2 + polinomları için, A(x) – B(x) farkını bulalım.
Çözüm
B(x) = – 5×4 + x3 + 2×2 + ise, -B(x) = + 5×4 – x3 – 2×2 -dir.
A(x) – B(x) = A(x) + (-B(x))
= (5×4 + x3 – 3×2 + x + 2) + (5×4 – x3 –2×2 – )
= (5 + 5)x4 + ( – )x3 + (-3 –2)x2 + x + (2 – )
= 10×4 – x3 – 5×2 + x – olur.
3. Çarpma İşlemi İki polinomun çarpımı; polinomlardan birinin her teriminin diğer polinomun her bir terimi ile ayrı ayrı çarpımlarından elde edilen terimler toplamınarak yapılır.
anxn ile bkxk teriminin çarpımı
anxn . bkxk = (an . bk) xn+k dir.
Yani (5×3) . (-2×4) = 5 . (-2) x3+4 = -10×7
Bu çarpmaya göre aşağıdaki eşitliği yazabiliriz.
Der [A(x) . B(x) ] = der (A(x)) + der (B(x))
Örnek
A(x) = 3×4 + 1, B(x) = x2 + x
C(x) = x2 – x + 1 polinomları veriliyor.
a) A(x) . B(x)
b) B(x) . C(x) çarpımlarını bulunuz.
Çözüm
a) A(x) . B(x) = (3×4 + 1) . (x2 + x)
= 3×4 . x2 + 3×4 . x + x2 + x
= 3×6 + 3×5 + x2 + x
b) B(x) . C(x) = (x2 + x) . (x2 – x + 1)
= x2 . x2 – x2 . x + x2 . 1 + x . x2 – x . x + x . 1
= x4 – x3 + x2 + x3 – x2 + x + 1
= x4 + x + 1 bulunur.
4. Bölme İşleminin Yapılışı Polinomlarda bölme işlemi, sayılarda bölme işlemine benzer şekilde yapılır.
Bunun için sırasıyla aşağıdaki işlemler yapılır:
1) Bölünen ve bölen polinomlar x değişkeninin azalan kuvvetlerine göre sıralanır.
2) Bölünen polinomun soldan ilk terimi, bölen polinomun soldan ilk terimine bölünür. Çıkan sonuç, bölümün ilk terimi olarak yazılır.
3) Bulunan bu bölüm, bölen polinomun bütün terimleri ile çarpılarak, aynı dereceli terimler alt alta gelecek şekilde bölünen polinomun altına yazılır.
4) Bölünenin altına yazılan çarpım polinomu, bölünen polinomdan çıkarılır.
5) Yukarıdaki işlemlere, kalan polinomun derecesi, bölen polinomun derecesinden küçük oluncaya kadar devam edilir.


Tanım
m > n olmak üzere, der[P(x)] = m ve der[Q(x)] = n olsun. P(x) in Q(x) ile bölümünden elde edilen bölüm polinomu B(x) olsun.
Buna göre,
- der[P(x) + Q(x)] = m,
- der[P(x) – Q(x)] = m,
- der[P(x) × Q(x)] = m + n,
- der[B(x)] = m – n,
- der[[P(x)]k] = k × der[P(x)] = k × m,
- der[[P(xk)]] = k × der[P(x)] = k × m dir.
C. P(x) İN x = k İÇİN DEĞERİ
P(x) = a0 + a1 × x + a2 × x2 + … + an × xn
polinomunun x = k için değeri, P(k) = a0 + a1 × k + a2 × k2 + … +an × kn dir.
Kural
P(x) = a0 + a1 × x + a2 × x2 + … + an × xn polinomunda x = 1 yazılırsa,
P(1) = a0 + a1 + a2 + … + an olur. Bu durumda P(1) in değeri P(x) polinomunun kat sayıları toplamıdır.
Sonuç
Herhangi bir polinomda x yerine 1 yazılırsa, o polinomun kat sayıları toplamı bulunur.
Örneğin, P(x + 7) polinomunun kat sayıları toplamı, P(1 + 7) = P(8) dir.
Kural P(x) = a0 + a1 × x + a2 × x2 + … + an × xn polinomunda x = 0 yazılırsa,
P(0) = a0 olur. Bu durumda P(0) ın değeri P(x) polinomunun sabit terimidir.
Sonuç
Herhangi bir polinomda x yerine 0 yazılırsa, o polinomun sabit (x ten bağımsız) terimi bulunur.
Örneğin, P(2x + 3) polinomunun sabit terimi,
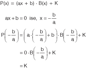
D.P(0 + 3) = P(3) tür. D. P(x) İN (ax + b) İLE BÖLÜNMESİYLE ELDE EDİLEN KALAN
P(x) in ax + b ile bölünmesiyle elde edilen bölüm B(x), kalan K olsun. Buna göre,

Yani; P(x) polinomunun ax + b ile bölünmesiyle elde edilen kalanı bulmak için, ax + b = 0 denkleminin kökü olan
için P(x) polinomunun değeri olan
hesaplanır.
Sonuç
P(x) polinomunun x – a ile bölümünden kalan P(a) dır.
P(x + b) polinomunun x – a ile bölümünden kalan P(a + b) dir.
P(3x + b) polinomunun x – a ile bölümünden kalan P(3 × a + b) dir.
E. P(x) İN xn + a İLE BÖLÜMÜNDEN KALAN
Kural
Derecesi n den büyük olan bir polinomun xn + a ile bölümünden kalanı bulmak için, xn yerine –a yazılır. (xn + a = 0 ise, xn = –a)
F. P(x) İN (x – a) × (x – b) ÇARPIMI İLE BÖLÜNMESİ
Kural
1) P(x) polinomu (x – a) × (x – b) çarpımı ile tam olarak bölünebiliyorsa x – a ve x – b çarpanları ile de ayrı ayrı tam olarak bölünür.
2) x – a ve x – b aralarında asal polinomlar olmak üzere; P(x), bu polinomlara ayrı ayrı tam olarak bölünebiliyorsa, (x – a) × (x – b) çarpımı ile de tam olarak bölünür.
G. P(x) İN (a × x + b)2 İLE BÖLÜNEBİLMESİ
P(x) polinomu (ax + b)2ile tam bölünebiliyorsa, P(x) polinomu ve P'(x) polinomu ax + b ye tam olarak bölünür. (P'(x), P(x) in türevidir.) Buna göre, P(x) polinomu (ax + b)2ile tam bölünebiliyorsa,

- Matematik Polinomlar Çözümlü soruları izlemek ve Polinomlar İle İlgili Önemli Formüllere Ulaşmak İçin Tıklayınız
- LYS Matematik konu Anlatımları ve Çözümlü Sorular (MAT 2) için Tıklayınız
- Tüm LYS Dersleri konu Anlatımları ve Çözümlü Sorular için Tıklayınız
- Tüm YGS Dersleri konu Anlatımları ve Çözümlü Sorular için Tıklayınız
Burada bulunan Matematik Polinomlar Ders izle videolarından Açılmayan Video Dersler veya Eklenmesini istediğiniz video dersler var ise Lütfen yorum alanından bildiriniz. Ayrıca dersler ve ders anlatanlar hakkındaki soru, görüş ve önerilerinizi de yorum alanından bize iletebilirsiniz.
[egit1]
[egit2]
[egit3]










