KÖKLÜ SAYILAR Konu Anlatımı Video

YGS-LYS, KPSS gibi sınavlara hazırlanan okuyucularımıza sınavlara çalışmalarında yardımcı olmak maksadı ile İnternette çeşitli platformlar altında yer alan matematik KÖKLÜ SAYILAR online ders anlatımı yapan gözde hocaların KÖKLÜ SAYILAR konu anlatım videolarını siz değerli Eğitim-Dünyası okuyucuları için aralarından seçim yaparak konularına göre derleyerek aşağıya matematik KÖKLÜ SAYILAR video konu anlatımlarını listeledik, Değerli okuyucumuz aşağıda ister Kpss için isterseniz de YGS LYS için olan online matematik KÖKLÜ SAYILAR konu anlatımlarından istediğiniz hocayı seçerek onun anlattığı dersi izleyebilirsiniz. Ayrıca Videoların devamında da matematik KÖKLÜ SAYILAR konusu ile ilgili yazılı anlatım ve genel KÖKLÜ SAYILAR formülleri de eklenmiştir.
Videoların Yan tarafında mevcut olan hoca ların isimlerinin üstüne tıklayarak Konu ile ilgili istediğiniz Hocanın Ders Anlatım videolarını izleyebilirsiniz. (mobil olarak bağlanan okuyucularımız hocaların isimleri videonun hemen yukarısında alt alta yer almaktadır.)Matematik KÖKLÜ SAYILAR Konu Anlatımı Videolar
Matematik KÖKLÜ SAYILAR Konu Anlatımı 2 Şenol Hoca
Matematik KÖKLÜ SAYILAR Konu Anlatımı 3 Şenol Hoca
Matematik KÖKLÜ SAYILAR Konu Anlatımı 4 Şenol Hoca
Matematik KÖKLÜ SAYILAR Konu Anlatımı 5 Şenol Hoca
Matematik KÖKLÜ SAYILAR Konu Anlatımı 2 TeknoFem
Matematik KÖKLÜ SAYILAR Konu Anlatımı 2 (Köklü Sayılarda Sıralama) Hocalara Geldik
Matematik KÖKLÜ SAYILAR Konu Anlatımı 3 (Köklü Sayılarda Denklemler) Hocalara Geldik
[t2]
Sitemizde Aşağıda yer alan Matematik KÖKLÜ SAYILAR Ders izle gibi birçok branş da Derslerin Konu anlatımları online ders izleyebileceğiniz şekilde çeşitli platformlardan derlenmiş bir şekilde bulunmaktadır. matematik KÖKLÜ SAYILAR canlı dersinin bulunduğu bu sayfamızın sonunda diğer ders ve branşlara ulaşabileceğiniz bağlantı adresleri de yer almaktadır. Eğitim-Dünyası.net olarak iyi dersler dileriz.
Matematik KÖKLÜ SAYILAR Konu Anlatımı Yazılı
A. TANIM
n, 1 den büyük bir sayma sayısı olmak üzere,
xn = a denklemini sağlayan x sayısına a nın n yinci dereceden kökü denir.

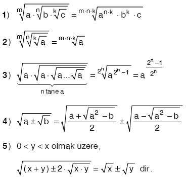
B. KÖKLÜ İFADELERİN ÖZELİKLERİ
1) n tek ise,
daima reeldir.
2) n çift ve a < 0 ise,
reel sayı belirtmez.
3) a ³ 0 ise,
daima reeldir.
4) a ³ 0 ise, 
5) n tek ise, 
6) n çift ise, 
7) 
8) n çift ve b ile c aynı işaretli olmak üzere,

9) n tek ise, 
10) a, pozitif reel (gerçel) sayı olmak üzere,

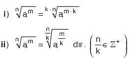
11) k pozitif tam sayı ve a pozitif gerçel sayı olmak üzere;

12) (a ¹ 0 ve b ¹ 0) ise 
C. KÖKLÜ İFADELERDE YAPILAN İŞLEMLER
1. Toplama – Çıkarma İşlemi
Kök dereceleri birbirine eşit ve kök içindeki sayılar da birbirine eşit olan ifadelerin kat sayıları toplanır ya da çıkarılır. Bulunan sonuç köklü ifadenin kat sayısı olur.

Dikkat: Katsayısında herhangi bir sayı bulunmayan kareköklü sayıların kat sayısını 1 olarak almayı unutmayınız.
Kareköklerin içindeki sayılar farklı ise; Önce karekök içleri aynı yapılmaya çalışılır, daha sonra kat sayılar arasında toplama veya çıkarma işlemi yapılır.
Kareköklü sayılarda toplama ve çıkarma işlemi görüldüğü gibi çok kolay bir işlemdir. Önemli olan karekök içindeki sayıları aynı olmasıdır. Böylece kat sayılar arasında toplama ve çıkarma işlemi yaparak sonucu rahatlıkla bulabilirsiniz.
Kareköklü sayılarda dört işlemi doğru ve hızlı bir şekilde yapabilmenin yolu verilen sayıları doğru bir şekilde karekök dışına çıkarmak ile mümkündür. 1 den 20 ye kadar ki sayıların karesini ezbere bilirseniz, verilen kareköklü sayıları da rahatlıkla karekök dışına çıkarabilirsiniz.
Kareköklü Sayılar Çözümlü Sorular bölümünden daha fazla örnek soru çözümüne ulaşabilir veya online Karekök Testlerimize katılarak kendinizi değerlendirebilirsiniz.
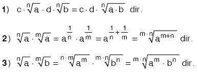
2. Çarpma İşlemi
Kareköklü sayılarda çarpma işlemi yapılırken; Kat sayılar çarpılıp kat sayı olarak yazılır. Daha sonra karekök içinde verilen sayılar çarpılıp, sonucu kök içine yazılır. En son olarak kök dışına çıkabilen sayı varsa çarpan olarak kök dışına çıkarılır.
n ve m, 1 den büyük tek sayı ya da a ve b negatif olmamak üzere,

3. Bölme İşlemi
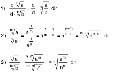
Kareköklü sayılarda bölme işlemi yapılırken; Kat sayılar bölünüp kat sayı olarak yazılır. Daha sonra karekök içindeki sayılar bölünerek sonucu kök içine yazılır. Son olarak sadeleştirmeler yapılıp kök dışına çıkabilen sayı varsa kök dışına çarpan olarak çıkarılır.
Uygun koşullarda,

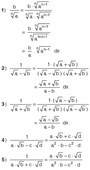
4. Paydayı Kökten Kurtarma
Uygun koşullarda,


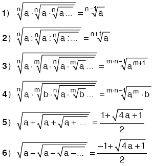
D. İÇ İÇE KÖKLER

E. SONSUZ KÖKLER

| Yukarıdaki son iki özelikte a, ardışık iki pozitif tam sayının çarpımı ise; 5. nin cevabı bu sayıların büyüğü, 6. nın cevabı bu sayıların küçüğüdür. |
F. KÖKLÜ İFADELERDE SIRALAMA
Kareköklü sayılarda sıralama işlemi yaparken; Verilen kareköklü ifadelerin karekök dışına yaklaşık olarak kaç çıktığını bularak da yapabiliriz ama ben size daha pratik ve güvenilir olan yoldan sıralama yapmanızı öneririm. Şöyle ki;
Verilen kareköklü ifadelerde karekök dışında bir sayı var ise bu sayıyı karekök içine alınız. Hepsini kök içine aldığınızda sayısal değeri büyük olan sayı daha büyük olacaktır. Aynı doğal sayılarda yaptığınız sıralama işlemi gibi yani. Ama büyün sayıların karekök içinde olması gerekiyor. Soruda verilen sayıların hepsi zaten karekök içinde ise o zaman sayısal değeri büyük olan daha büyüktür diyebilirsiniz. Örnekleri incelediğinizde daha iyi kavrayacaksınız.
Kök dereceleri eşit olan (ya da eşitlenen) pozitif sayılarda, kök içindeki sayıların büyüklüğüne göre sıralama yapılır.

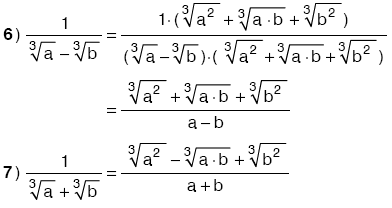
g.KÖKLÜ İFADENİN EŞLENİĞİ

ONDALIK KESİRLERİN KAREKÖKÜ
Ondalık kesirlerin karekökü iki farklı yoldan bulunabilir. Hangi yol daha kolayınıza gelirse soruları o yoldan çözebilirsiniz.
1.Yol : Verilen ondalıklı kesir, rasyonel sayı biçiminde yazılarak karekökleri alınabilir. Örnekleri inceleyiniz.

2.Yol : Ondalık kesirlerin virgülden sonraki basamak sayıları çift ise, tam kare kökleri alınabilir. İlk önce virgül yokmuş gibi sayı karekök dışına çıkarılır. Daha sonra, virgülden sonraki her iki basamak için bir basamak sağdan sola doğru virgülle ayırırız.

- Matematik KÖKLÜ SAYILAR Çözümlü soruları izlemek ve KÖKLÜ SAYILAR İle İlgili Önemli Formüllere Ulaşmak İçin Tıklayınız
- Tüm YGS Matematik konu Anlatımları ve Çözümlü Sorular için Tıklayınız
- Tüm KPSS Matematik konu Anlatımları ve Çözümlü Sorular için Tıklayınız
- Tüm KPSS Dersleri konu Anlatımları ve Çözümlü Sorular için Tıklayınız
- Tüm YGS Dersleri konu Anlatımları ve Çözümlü Sorular için Tıklayınız
- Tüm LYS Dersleri konu Anlatımları ve Çözümlü Sorular için Tıklayınız
Burada bulunan Matematik KÖKLÜ SAYILAR Ders izle videolarından Açılmayan Video Dersler veya Eklenmesini istediğiniz video dersler var ise Lütfen yorum alanından bildiriniz. Ayrıca dersler ve ders anlatanlar hakkındaki soru, görüş ve önerilerinizi de yorum alanından bize iletebilirsiniz.
[egit1]
[egit2]
[egit3]
